理解Lambda整定方法推导的内容需要掌握拉普拉斯变换和传递函数等控制领域相关知识,这部分知识内容超过了本文的范畴,本文直接使用了这些知识。
Lambda整定方法的推导使用了分析设计方法,基于附图1的简化控制框图。

图1 简化的控制框图
主通道闭环传递函数(公式1):

控制器传递函数(公式2):

1、自衡对象Lambda整定方法推导
被控对象传递函数(公式3):

闭环控制不能消除纯滞后时间,所以设闭环传递函数仍有不变的纯滞后时间。闭环时间常数λ表示设定值阶跃变化时过程的响应速度。期望的闭环传递函数(公式4):

将公式4代入公式2,得公式5和公式6:


将公式3代入公式6,得公式7:

对公式7中的纯滞后时间使用一阶泰勒展开近似,得公式8、公式9:

故得公式10:

从正文我们知道,即使被控对象并不是一阶纯滞后对象,仍可以通过在响应曲线中获得一阶纯滞后控制模型参数,得到可以实现稳定控制的PID参数,而且λ仍可以反映闭环控制性能的快慢并遵循λ≥τ。
下面分析λ的选择原则分析。
使用Lambda整定公式后的闭环传递函数为公式11:

对分母纯滞后进行一阶Padé近似得公式12:

闭环传递函数近似为公式13:

当λ=τ,闭环传递函数为公式14:

典型二阶系统为公式15:

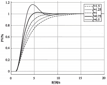
不同ξ时二阶系统的阶跃响应曲线如附图2所示。公式14对应的参数得公式16和公式17:



图2 不同ξ时二阶系统的阶跃响应曲线
所以当λ=τ,闭环的设定值跟踪会发生超调。此时闭环传递函数并不是期望的一阶纯滞后响应,这是纯滞后的近似造成的,这也是Lambda整定方法推荐的最强控制作用。同理,当λ=2τ时,闭环设定值跟踪不振荡。
2、积分对象Lambda整定方法推导
被控对象可以用积分纯滞后对象描述,传递函数为公式18:

闭环控制不能消除纯滞后时间,所以设闭环传递函数仍有不变的纯滞后时间。闭环时间常数λ表示设定值阶跃变化时过程的响应速度。期望的闭环传递函数为公式19:

将闭环传递函数公式19代入方程式2,得公式20和公式21:


将模型公式18代入公式21,得公式22:

对纯滞后使用一阶泰勒展开近似,得公式23:
PID控制器传递函数近似为公式24:

对积分纯滞后对象使用纯比例控制就能满足主通道的控制要求,得公式25:

积分对象的比例增益计算公式和自衡对象类似,λ反映了闭环控制性能的快慢。λ的选择依据和自衡对象的推导过程一样,这里不再赘述。所以也有结论:当λ=τ时,闭环的设定值跟踪会发生超调。这也是Lambda整定方法推荐的最强控制作用。同理当λ=2τ时,闭环设定值跟踪不振荡。
3、积分对象纯比例控制
实际情况中,干扰可能具有和被控对象一样的积分特性。例如水箱或储罐的进出流量对液位都有积分特性。如图3所示。

图3 积分对象的纯比例控制
扰动到过程变量的闭环传递函数为公式26和公式27:


此时对纯积分对象的扰动通道而言,干扰会导致系统产生余差。随着比例作用增强,余差逐步减小。
即使被控对象是积分对象,考虑到扰动的复杂性,为了消除余差,也推荐使用比例积分控制而不是纯比例控制。
关键是积分时间如何设置才能既避免振荡,又能消除余差。当然积分时间太大不会振荡,但是消除余差的能力会比较弱。
4、积分对象比例积分控制
图4中针对积分对象使用比例积分控制。

图4 积分对象比例积分控制
传递函数为公式28~公式30:

闭环传递函数的两个极点位置决定了被控对象是否振荡。根据韦达定理,极点的位置取决于根的情况由判别式(△=b²-4ac)决定,当判别式大于等于0方程式有两个实根时,被控对象阶跃响应不振荡,否则方程式有两个共轭虚根,被控对象阶跃响应振荡,得公式31和公式32。


对纯积分对象而言,当使用比例积分控制时,Kc或者TI足够大使得两者的乘积大于某个值,则积分对象比例积分控制的闭环系统都不会振荡。当比例增益减小时,积分时间要加大才能保证闭环系统不振荡,当比例增益增加时,积分时间即使适当减小闭环系统也不会振荡。这是积分对象和自衡对象的显著区别。但是纯积分对象的闭环响应无论如何都会出现超调,这个超调是由闭环传递函数的零点造成的。
推荐的不振荡积分时间为公式33:

基于上面的分析,积分对象Lambda整定方法推荐参数为公式34:

为了克服积分对象纯比例控制有余差而引入积分作用后的Lambda整定方法,是对理论方法的工程化处理。工程化处理后的积分对象Lambda整定方法中λ仍然可以反映闭环响应速度,但是实际的闭环响应就不是期望的一阶纯滞后响应,而是始终都有超调的响应。
