提起相量图,是不是也挺烦它哪?反正笔者是经过了好长时间的思想斗争,就跟刚开始接触三视图一样,就是形不成一种固定的思维模式,不知道在读的你是不是也有跟笔者有相同的经历。

后来,经历的多了,也就慢慢掌握了,可见,有些时候,要掌握一点东西,还需要一定时间沉淀的。不过,现在再体会起来,相量图还是非常重要的,它能直观地反映出各个量之间的大小与方向,以及它们之间的对应关系。

要画好、看懂相量图,首先需要掌握一个元件电压与电流的关系,比如纯电阻电路,电压与电流同相,纯电感电路,电压超前电流90°,纯电容电路,电流超前电压90°,感性电路,电压超前电感θ角,容性电路,电流则超前电压θ角。如此,针对一个元件,它的电压与电流的相位关系就会有一个大致的轮廓。

再者,要清楚理解+j与-j的关系。j只是一个标识方向的符号,+j表示超前90°,-j表示滞后90°,但不管是超前,还是滞后,都会有一个基准值,就是以谁为基准超前或滞后90°。这也是要说的第三条原则,选择基准相量,合二为一。在相量图中,逆时针方向为超前,顺时针方向为滞后。
再就是正负相量的关系,同一相量的正负关系,表示的就是大小相等,方向相反。
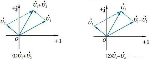
相量的加减运算满足平行四边形法则,收尾相接为加,反方向为相减,这一点也比较重要,但基本上都会。
最后一点,就是不同量之间的相量关系,满足一定关系,可以画在一张相量图当中,比如变压器中的感应电势与磁通,电源电压与励磁电流等,可以在一张示意图中加以展示。

理解了这几点,画出相量图,正确读懂相量图,也都不是什么难事。
作者:电气星辰
