中压、高压开关电器一般以油、真空、SF6气体等作为导体绝缘和触头灭弧介质,而低压断路器、隔离开关、接触器等电器的主触头、载流导体都是暴露在空气中,依靠“空气”作为绝缘和灭弧介质。
低压电器同行都知道:海拔越高,空气越稀薄,通过空气对流散热的效率就越低,空气的绝缘强度就越低,导体之间的电气间隙要求就越大,所以高海拔环境下,低压电器需要降容使用。
但是,哪些电气参数需要降容?降容与哪些因素有关?不同海拔下的降容系数如何?等等一系列疑问,fkswng仪表接下来一一回答。
在GB/T14048.1-2012低压开关设备和控制设备 第1部分:总则中海拔一般不超过2000米,如果超过2000米,厂家会提供相应的海拔降容系数,例如:
某品牌塑壳断路器的海拔降容系数如下表:

某品牌接触器的海拔降容系数如下表:

我们发现高海拔情况下,需要降容的电气参数包括额定冲击耐压、额定绝缘电压、额定工作电压和额定工作电流。
1、额定冲击耐压表征的是低压电器耐受“瞬时”过电压的能力,决定了导体间的最小电气间隙,电气间隙指的是两个导电部件间最短的直线距离。

2、额定绝缘电压表征的是低压电器的耐受“长期”电压的能力,决定了导体间的爬电距离,爬电距离是指两导电部件间沿绝缘材料表面的最短距离。

3、额定工作电压是一个与额定工作电流组合共同确定电器用途的电压值,它与相应的试验和使用类别有关。在任何情况下最大的额定工作电压值不应超过额定绝缘电压值。
4、额定工作电流的确定应考虑到额定工作电压、额定频率、额定工作制、使用类别和外壳防护的型式(如有)。
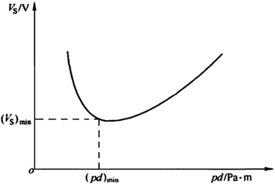
一、巴申定律
提到高海拔降容,就不得不提巴申定律。
早在1889年,德国物理学家弗里德里希·巴申通过试验发现:导体间的击穿电压Ujc取决于气体压力p和电气间距d的乘积,并将三者之间的关系绘制成下图所示的曲线,即著名的巴申曲线。

曲线的最低点代表间隙最容易被击穿的情况,以曲线最低点作为分界,在曲线的右边,如果电气间隙d不变,空气压力p越高,击穿电压Ujc越高,反之容易击穿。
曲线左边适用于低气压和高真空的气体。在真空环境下,即使存在电子,它们从一个电极飞向另一个电极时,也很少有机会与气体分子碰撞造成真空间隙的电击穿,因此,高真空间隙的绝缘强度比变压器油、高压空气、SF6气体还高。
二、额定冲击耐压Uimp和电气间隙
依据巴申曲线右侧的趋势,当空气压力随着海拔增高而降低时,如果保持海拔2000米时的击穿电压或电气间隙不变,要么增大电气间隙,要么只能降低冲击耐受电压值。
GB/T16935.1-2008低压系统内设备的绝缘配合 第1部分:原理、要求和试验中给出了不同海拔下的修正系数。
例如当海拔为2000米时,电气间隙的倍增系数为1,当海拔为4000米时,如果还想保持原来的额定冲击耐受电压值,其电气间隙需要增加至原来电气间隙的1.29倍。

低压电器的额定冲击耐压值取决于电源系统的标称电压、过电压类别以及额定工作电压。例如某断路器可以应用到AC1000V的电网系统进线端,则其额定耐受电压为12kV(海拔2000米)。

依据GB/T14048.1标准,非均匀电场条件下,污染等级3,额定冲击电压12kV(海拔2000米)对应的最小电气间隙为14mm。

当海拔为4000米时,要保持12kV的额定冲击耐压,电气间隙要增大到:14mm*1.29≈18mm;当海拔为4000米时,如果电气间隙保持为14mm不变,那么只相当于14mm÷1.29≈11mm对应的额定冲击耐压值,查询下表,冲击耐压值为8kV左右。

三、额定绝缘电压Ui和爬电距离
额定绝缘电压Ui在高海拔下的降容系数可以参考IEC 60071-2:2023 Insulation co-ordination - Part 2: Application guidelines的6.2.2章节中公式:

其中H为海拔高度,m在低压一般取0.5,例如对于4000米海拔时Ka系数为1.28,意味着如果原来低压电器的额定绝缘电压为690V(2000米海拔),那么4000米海拔时其额定绝缘电压要达到690V×1.28≈883.2V。
参考GB/T14048.1表12A的要求,额定绝缘电压为690V时,介电试验电压为1890V,而额定绝缘电压为883.2V时,介电试验电压为2200V。

同时由于爬电距离与额定绝缘电压直接相关,所以绝缘电压由690V变到883.2V时,爬电距离按表15插入法计算为13.32mm(污染等级3,材料组别2)。

四、额定电流降容
高海拔情况下,由于空气密度降低,散热效率降低,所以低压电器的额定电流的降容可以参考如下公式:

其中Ih为海拔降容后的额定电流,Ie为未降容前的额定电流,Ph为高海拔的空气压力值,Pn为海拔2000米的空气压力值。
于是可以得到如下所示的降容系数:

实际上,上述关于额定冲击电压、额定绝缘电压、额定工作电压和额定工作电流的高海拔降容,都是基于一些理论分析的基础上得出的降容值。
通过理论分析,可以让我们知道高海拔情况下,空气密度和空气压力的变化,对电气绝缘和散热都有影响,所以电压和电流都会有所降容。
由于各厂家产品结构、材料以及低压电器类型差异,降容值都有所不同,没有统一的降容系数,所以一旦涉及到高海拔降容,建议参照厂家样本提供的降容系数。
作者:宾绍平
