参数整定是控制器设计关键的一环。自抗扰控制,尤其线性自抗扰控制因为结构简单、不依赖被控对象模型、抗扰能力强,具有在工业应用中部分替代PID控制器的潜力。但相比于PID有上千种参数整定算法,目前ADRC的参数整定方法非常少。最近的论文报告了一种定量的ADRC参数整定公式,在多个仿真系统、实际的火电机组上得到了应用验证。
1、问题描述
自然界很多物理过程本质是分布参数系统,尤其是涉及传热传质的热力过程。而分布参数系统的传递函数通常可以近似成高阶对象模型。因此以多个惯性环节串联的高阶对象作为研究的被控对象:

上述被控对象模型代表了工业过程中一大类自平衡对象,虽然忽略了被控对象可能具有的震荡特性、非最小相位特性,但由于ADRC的特点,可以将未精确建模的信息通过总和扰动进行估计抵消。实际上以此高阶模型作为被控对象推导出的参数整定公式可以适用于更大范围。

图1 二阶线性ADRC控制系统
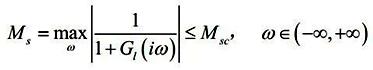
由于被控过程本身具有的不确定性,以及建模过程的不确定性,可以自然地想到利用控制系统的鲁棒性作为参数整定推导的约束性调节。在该研究中,选择容易量化的最大灵敏度Ms作为鲁棒性指标。根据的定义,最大灵敏度约束可表示为:

其中,Msc是最大灵敏度的约束值,G/(iω)是开环传递函数的频率特性。对于最大灵敏度约束的理解,从Nyquist图上来看,若使系统最大灵敏度Ms不大于约束值Msc,则系统Nyquist开环特性曲线与点(-1,0i)的最短距离要大于1/Msc,也就是说,Nyquist曲线不进入,以(-1,0i)为圆心、1/Msc为半径的灵敏度约束圆内。
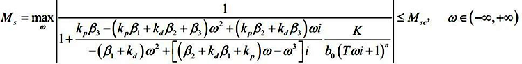
在最大灵敏度约束不等式中,带入二阶线性ADRC控制系统开环频率特性后可得

但问题是,上式约束条件非常难解。所以只能通过其他方式求解约束条件获得ADRC参数整定公式。
2、参数整定方法及推导结果
上面分析了最大灵敏度约束,实质上为灵敏度约束圆与Nyquist曲线之间的关系。求解上的困难,需要一个特别的角度来攻克这个问题。
通过大量仿真实验和分析总结发现,对于ADRC控制K/(Ts+1)n类型系统,存在一条垂直于实轴,且位于Nyquist曲线右侧的渐近线,如图2中红色虚线所示。这是一个很有意思的发现,因为只要这条垂直渐近线位于灵敏度约束圆的右边,Nyquist曲线就不会进入灵敏度约束圆,也就是说控制系统的最大灵敏度将会小于约束值。
Nyquist曲线与灵敏度约束圆之间的关系,就可以转变为渐进线与灵敏度约束圆的关系。因此,无法获得解析解的最大灵敏度约束,似乎有希望通过“以直代曲”的方式来求解。

图2 最大灵敏度约束与Nyquist曲线及其渐进线

该控制系统Nyquist曲线的渐进线的实轴坐标,可以用取极限的方式求解。
让垂直渐进线位于灵敏度约束圆右边,

给最大灵敏度约束值Msc赋值,取不等式的下限,可以求解出b0关于ωc的表达式。ωc、ωo的取值公式推导相对简单,论文中有详细介绍。最终,二阶ADRC的参数整定公式为

其中,k为一个可调参数,取值范围为0~4.5。
采用相同的渐近线约束的方法,并对可调参数进行改进,可以获得一阶ADRC的参数整定公式为

其中,Msd为预期最大灵敏度,取值范围通常为为1.4~2.0。采用上式参数整定公式的控制系统得到的实际最大灵敏度值可以等于预期值。
3、实际应用效果
ADRC参数整定公式首先在多个仿真算例进行了验证,包括延迟对象、非最小相位对象、震荡环节的对象,甚至是100阶的高阶对象。之后被用于水箱水位控制的实验中,最终被应用于实际运行的火电机组中,包括二次风、过热汽温等回路。图3、图4所示为循环流化床机组二次风回路的应用效果,表中为应用指标对比。实际使用该整定公式非常容易,初次计算的ADRC参数就可以保证投切后系统稳定过渡,无震荡发散,并且效果比PID的控制效果好很多。

图3 ADRC控制二次风回路的效果

图4 PID控制二次风回路的效果
表1 循环流化床机组二次风控制试验性能指标

4、应用范围讨论
本文所介绍的参数整定公式,虽然是基于K/(Ts+1)n类型推导而来,实际上任何其他类型对象都有可能使用该参数整定公式来计算ADRC参数,只要可以在时域阶跃响应上可以近似成K/(Ts+1)n即可。
本文所介绍的参数整定公式,不仅可以应用于传统的火力发电系统中,实际上在众多复杂系统的仿真实践中,也可以应用其他类型的工业系统中,如燃气轮机、吸收式制冷系统、太阳能热化学发电系统、分布式供能系统等。
作者:何婷
